COMSOL
COMSOL is a multiphysics solver that provides a unified workflow for electrical, mechanical, fluid, and chemical applications. COMSOL Homepage
Warning
COMSOL is proprietary software. Make sure you meet the requirements for it's usage.
Available Modules¶
module load COMSOL/6.1
Licences¶
The following network licence servers can be accessed from the NeSI cluster.
| Institution | Faculty | |||||||||||||
|---|---|---|---|---|---|---|---|---|---|---|---|---|---|---|
| University of Auckland | Physics | |||||||||||||
| Auckland Bioengineering Institute | Implantable devices group | |||||||||||||
| University of Auckland | Faculty of Engineering | |||||||||||||
| University of Auckland | Deptartment of Engineering Science | |||||||||||||
| University of Auckland | Deptartment of Engineering Science | |||||||||||||
|
||||||||||||||
| University of Canterbury | ||||||||||||||
If you do not have access, or want a server connected Contact our Support Team.
comsol --help
Will display a list of COMSOL batch commands.
Useful Links
Batch Submission¶
When using COMSOL batch the following flags can be used to control distribution.
-mpibootstrap slurm |
Instructs COMSOL to get it's settings from SLURM |
-np <cpus> |
Number of CPUs to use in each task. Equivalent to Slurm input --cpus-per-task or environment variable ${SLURM_CPUS_PER_TASK} |
-nn <tasks> |
Number of tasks total. --ntasks or ${SLURM_NTASKS} |
-nnhost <tasks> |
Number of tasks per node. --ntasks-per-node ${SLURM_NTASKS_PER_NODE} |
-f <path to hostlist> |
Host file. You won't need to set this in most circumstances. |
Example Scripts¶
Single process with a single thread Usually submitted as part of an array, as in the case of parameter sweeps.
#!/bin/bash -e
#SBATCH --job-name COMSOL-serial
#SBATCH --licenses comsol@uoa_foe
#SBATCH --time 00:05:00 # Walltime
#SBATCH --mem 1512 # total mem
module load COMSOL/6.1
comsol batch -inputfile my_input.mph
#!/bin/bash -e
#SBATCH --job-name COMSOL-shared
#SBATCH --licenses comsol@uoa_foe
#SBATCH --time 00:05:00 # Walltime
#SBATCH --cpus-per-task 8
#SBATCH --mem 4G # total mem
module load COMSOL/6.1
comsol batch -mpibootstrap slurm -inputfile my_input.mph
#!/bin/bash -e
#SBATCH --job-name COMSOL-distributed
#SBATCH --licenses comsol@uoa_foe
#SBATCH --time 00:05:00 # Walltime
#SBATCH --ntasks 8
#SBATCH --mem-per-cpu 1500 # mem per cpu
module load COMSOL/6.1
comsol batch -mpibootstrap slurm -inputfile my_input.mph
#!/bin/bash -e
#SBATCH --job-name COMSOL-hybrid
#SBATCH --licenses comsol@uoa_foe
#SBATCH --time 00:05:00 # Walltime
#SBATCH --ntasks 4
#SBATCH --cpus-per-task 16
#SBATCH --mem-per-cpu 1500B # total mem
module load COMSOL/6.1
comsol batch -mpibootstrap slurm -inputfile my_input.mph
#!/bin/bash -e
#SBATCH --job-name COMSOL-livelink
#SBATCH --licenses comsol@uoa_foe
#SBATCH --time 00:05:00
#SBATCH --cpus-per-task 16
#SBATCH --mem-per-cpu 1500
module purge
module load COMSOL/6.1
module load MATLAB/2021b
comsol mphserver -silent &
matlab -batch "addpath('/opt/nesi/share/COMSOL/comsol154/multiphysics/mli/');mphstart;MyScript"
Warning
If no output file is set, using --output the input file will be
updated instead.
Interactive Use¶
Providing you have set up X11, you can
open the COMSOL GUI by running the command comsol.
Large jobs should not be run on the login node.
LiveLink¶
If you are using COMSOL LiveLink, you will need to load a MATLAB module (in addition to the COMSOL module), e.g.
module load MATLAB/2021b
Then
comsol matlab -mlroot <path>
Where <mlpath> is the root directory of the MATLAB version you are using (dirname $(dirname $(which matlab))).
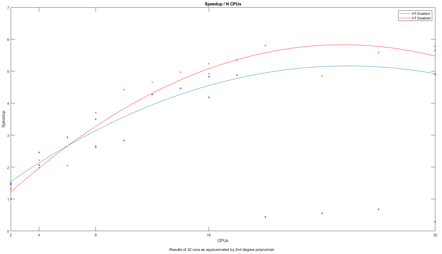
Performance¶
COMSOL is relatively smart with it's use of resources, if possible it is
preferable to use --cpus-per-task over --ntasks
Memory requirements depend on job type, but will scale up with number of CPUs ≈ linearly.
Multithreading will benefit jobs using less than 8 CPUs, but is not recommended on larger jobs.
Performance is highly depended on the model used. The above should only be used as a rough guide.

Tmpdir¶
If you find yourself receiving the error 'Disk quota exceeded', yet nn_storage_quota shows plenty of room in your filesystem, you may be running out of tmpdir.
This can be fixed by using the --tmpdir flag in the comsol command line, e.g. comsol --tmpdir /nesi/nobackup/nesi99991/comsoltmp, or by exporting TMPDIR before running the command, e.g. export TMPDIR=/nesi/nobackup/nesi99991/comsoltmp.
You may also want to set this at the Java level with export _JAVA_OPTIONS=-Djava.io.tmpdir=/nesi/nobackup/nesi99991/comsoltmp